總說
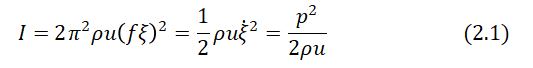
試著考慮向z方向前進的平行平面聲波。聲波強度I用單位時間內通過的能量表示垂直于聲音前進方向的單位面積,由下式給出。
其中,
和u分別是媒質密度和音速,pu是比聲阻抗。
是媒質位移振幅,
是速度振幅,p是壓力振幅。聲場的能量密度E
一般來說,介質吸收聲音的能量,聲波衰減。將平行平面波的壓力振幅p
總之,a稱為(單位長度的)吸收系數。另外
稱為單位波長的吸收系數。從強度來看,
變成了。有時也用db/(長度)表示吸收,但這是
平行平面聲波在z方向上的壓力的瞬時值p
把音速看作復數來計算u*,
當αλ比1小時,
將αλ/π稱為損失系數'(lossfactor) *,另外,設振動能量每周期損失的比率為2
,則
是對數衰減率,
等于波動時的α λ 。
第3表列出了2,3個代表性物質的聲學性質。這只是表示大致的傾向,細節留待下一章。
靈科超聲波堅持自主研發,最大力度投入研發設計,擁有一支近30年的研發制造團隊,發明創造170余項專利新技術。主要品牌有LINGGAO靈高、LINGKE靈科、SHENGFENG聲峰等。廣泛運用在醫療器械、電子器材、打印耗材、塑料、無紡布、包裝、汽配等多個領域,為海內外各行業、企業提供了大量穩定性強的優質超聲波塑焊設備及應用方案。